添加到电脑桌面
添加到电脑桌面,以后点击桌面图标一键打开,无需搜索,非常快捷!
立即添加
普通会员
限时优惠
登录
首页
文档
资讯
专题
文库
工业自动化
人工智能
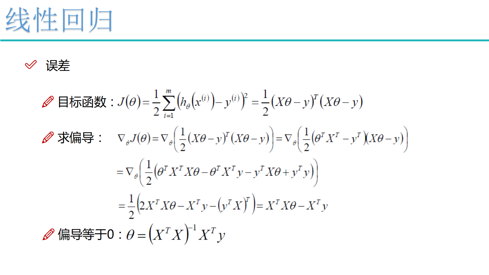
2-回归算法
PDF
20页
下载0
2022-11-09
浏览2680
收藏0
点赞0
评分-
1积分
观看下载 (夸克网盘)
温馨提示:当前文档最多只能预览 10 页,若文档总页数超出了 10 页,请下载原文档以浏览全部内容。
剩余10页未读,
下载浏览全部
收藏
已收藏
喜欢
已喜欢
📱 扫码免费下载
微信扫码打开小程序获取下载链接
文档描述
2-回归算法
📱 微信扫码打开小程序
点击任意位置关闭
用户OM0xMn
这个人很懒,什么都没留下
未认证用户
查看用户
该文档于
上传
推荐文档
深度强化学习在机器人领域的研究与应用_ITIL之家(www.itilzj.com)_.PPTX
浅谈AI产品算法架构设计_ITIL之家(www.itilzj.com)_.PDF
基于图像视频的人脸和人体分析基础技术及其应用介绍_ITIL之家(www.itilzj.com)_.PDF
基于多视图几何的三维重建_ITIL之家(www.itilzj.com)_.PDF
最新文档
生成式AI:充满创造力的新世界 _ 红杉汇内参
2023AIGC行业深度研究报告
100个有意思的AI应用
【德勤】生成式人工智能用例汇编
全球生成式AI应用全景图
计算机行业全球生成式AI应用全景图:AI应用进入大爆发时代
艾瑞咨询:2023年中国AIGC产业全景报告
GPTs带来AI应用全面爆发
【罗兰贝格】通用人工智能行业的曙光:生成式人工智能技术的产业影响
【华西证券】海外模型应用复盘:国内AI奇点已至
【中国人工智能学会】2023 中国人工智能系列白皮书——AI+Art
【量子位智库】AIGC产业全景图报告
时间序列分析
12-word2vec
11-神经网络
10-EM算法
最新文章
当AI遇上ITIL:别让聪明的技术,变成失控的野马
AI治理在ITIL 5框架中的核心原则:从技术整合到价值驱动的战略转型
探索新版ITIL如何加强协作并实现整体价值创造
管理AI在数字产品开发与服务管理中的风险与回报
ITIL绩效基准模型——衡量数字技术的商业效益
智算中心液冷规模化落地:从技术突破到产业变革的深度解析